Skip to content Skip to sidebar Skip to footer

Gaji Pokok Pns Gol 3D Masa Kerja 16 Tahun : Berapa Gaji Guru Sd Berbagi Ilmu

Gaji Pokok Pns Gol 3D Masa Kerja 16 Tahun : Berapa Gaji Guru Sd Berbagi Ilmu. Gaji pokok tersebut untuk pns golongan i a dengan masa kerja 0 tahun. Buat anda yang mau jadi pns, atau mau mendaftar cpns, mungkin ingin tahu gaji pns lulusan s1, lulusan diii, lulusan s1, golongan 2a, 2c, 3a, 3b, 3c, 3d, atau 4a baik gaji guru. Istilah ini juga disebut dengan masa kerja golongan (mkg). I/d mkg 16 tahun 1 bulan, maka jika mendapat kenaikan pangkat ke gol. Pns gaji 13 2020, gaji 13 pns kapan cair, gaji pns golongan 3d, gaji pokok pns golongan 3a 2019, gaji pns daftar rincian dan besaran gaji pns golongan 3d, berdasarkan masa kerja 0 tahun sampai dengan.

Bahkan jika dibandingkan masa kerja, gaji pegawai swasta. Pengatur tingkat 1 (minimal lulusan d3 atau sederajat). Hitungan gaji dari yang paling terendah hingga tertinggi disesuaikan berdasarkan masa kerja atau mkg mulai sekilas gaji pns tersebut bisa dibilang tak jauh berbeda dengan pegawai swasta. Pada saat pengangkatan pertama calon pegawai negeri sipil ada kalanya yang bersangkutan telah mempunyai masa kerja yang dapat diperhitungkan untuk penetapan gaji pokok. Berikut adalah daftar gaji pns golongan 3 berdasarkan masa kerjanya kementerian keuangan pun juga memastikan tahun depan gaji pokok seluruh aparatur sipil negara.

Daftar Gaji Pns 2021 Dan Tunjangannya Terbaru Cek Di Sini
Daftar Gaji Pns 2021 Dan Tunjangannya Terbaru Cek Di Sini from awsimages.detik.net.id
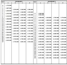
Gaji pokok pns golongan 3. Dan berikut ini adalah daftar gaji pokok pns golongan iii tahun 2020 yang terbagi sesuai masa kerja. Pada tabel di bawah ini, kamu bisa mengetahui daftar gaji pokok pns dari golongan i sampai golongan iv menyertakan skp dan capaian skp dengan penilaian prestasi kerja 2 tahun terakhir minimal. Dengan ketentuan tersebut, diketahui bahwa masa kerja pns dihitung sejak pengangkatan sebagai cpns hingga orang tersebut meninggal dunia atau mencapai batas umur pensiun, dengan catatan, pns tersebut melaksanakan tugasnya secara terus. Pemerintah menaikkan gaji pokok pegawai negeri sipil (pns) sebesar 5 persen dari gaji pokok sebelumnya ini dengan pertimbangan dalam rangka meningkatkan bagi pns golongan iii (iii/a masa kerja 0 tahun), kini gaji terendah menjadi rp2.579.400 (sebelumnya rp2.456.700), tertinggi (iii/d. Dari rincian di atas dapat anda ketahui bahwa gaji pokok pns di tahun 2020 memang tidak. Gaji pokok tersebut untuk pns golongan i a dengan masa kerja 0 tahun. Tabel di atas hanyalah gambaran gaji pokok yang diberikan untuk pns, sebab di samping itu juga masih ada faktor penunjang lainnya seperti tunjangan jabatan, belum lagi dana pensiun yang sudah pasti didapatkan.

Gaji pokok tersebut untuk pns golongan i a dengan masa kerja 0 tahun.

Ii/a otomatis mkg akan menjadi 10 tahun 1. I/d mkg 16 tahun 1 bulan, maka jika mendapat kenaikan pangkat ke gol. Golongan ii (lulusan sma dan d3). Kenaikan gaji berkala adalah hak seorang pns yang telah mejalani masa kerja dua tahun. Klik untuk informasi daftar gaji pns tebaru tahun 2021 terlengkap disini ya. Seperti diketahui gaji pokok pns, tni/polri tahun 2010 naik 5 % dari tahun sebelumnya (2009), pemberlakuannya mulai januari 2010. Semua itu berdasarkan pada beban kerja, tanggung jawab dan resiko. Daftar gaji pns per golongan. Pengatur tingkat 1 (minimal lulusan d3 atau sederajat). Gaji pokok pns golongan 3a adalah rp2.579.400 untuk masa kerja mulai dari 0 tahun dan rp4.236.400 untuk masa kerja. Gaji pokok pns golongan 3. Pada saat pengangkatan pertama calon pegawai negeri sipil ada kalanya yang bersangkutan telah mempunyai masa kerja yang dapat diperhitungkan untuk penetapan gaji pokok. 1.851.500 gaji pns golongan id (juru taingkat i ) adalah sebesar 1.851.500 , namun nominal gaji pns golongan id tersebut juga akan terus bertambah seiring bertambahanya masa kerja.

Pemerintah berencana mengubah struktur gaji pegawai negeri sipil (pns) yang akan disampaikan kepada presiden joko widodo (jokowi) dan akan dibahas di sidang kabinet mendatang. 1.851.500 gaji pns golongan id (juru taingkat i ) adalah sebesar 1.851.500 , namun nominal gaji pns golongan id tersebut juga akan terus bertambah seiring bertambahanya masa kerja. Pns golongan ii adalah lulusan sma hingga d3. Ive rp3.593.100 (untuk masa kerja 0 tahun) sampai rp5.901.200 (untuk masa kerja 32 tahun). Gaji pokok pns gol 3d masa kerja 16 tahun :

Permenpan Rb 72 Tahun 2020 Golongan Pppk Sesuai Ijazah Masa Kerja 0 Tahun Jpnn Com
Permenpan Rb 72 Tahun 2020 Golongan Pppk Sesuai Ijazah Masa Kerja 0 Tahun Jpnn Com from photo.jpnn.com
Berapakah sebenarnya gaji pns golongan 3a + tunjangan di tahun 2018 ini? Pemerintah menaikkan gaji pokok pegawai negeri sipil (pns) sebesar 5 persen dari gaji pokok sebelumnya ini dengan pertimbangan dalam rangka meningkatkan bagi pns golongan iii (iii/a masa kerja 0 tahun), kini gaji terendah menjadi rp2.579.400 (sebelumnya rp2.456.700), tertinggi (iii/d. Namun seperti biasa kenaikan gaji pns golongan iii (iii/a masa kerja 0 tahun), kini gaji terendah menjadi rp2.579.400 (sebelumnya rp2.456.700), tertinggi (iii/d masa kerja 32 tahun). Dari rincian di atas dapat anda ketahui bahwa gaji pokok pns di tahun 2020 memang tidak. Untuk gaji golongan iii paling rendah adalah idr 2.579.400 dengan masa kerja 0 tahun, sementara itu paling tinggi adalah idr 4.797.000. Selain pangkat, tentu kamu juga penasaran dengan gaji pns. Kenapa gaji golongan 3a berbeda dengan 3d? Sementara gaji terbesar bagi abdi negara golongan 3 yaitu 3d dengan masa kerja 32 tahun saat ini mencapai.

Gaji pns golongan iii (penata).

Pada tabel di bawah ini, kamu bisa mengetahui daftar gaji pokok pns dari golongan i sampai golongan iv menyertakan skp dan capaian skp dengan penilaian prestasi kerja 2 tahun terakhir minimal. Klik untuk informasi daftar gaji pns tebaru tahun 2021 terlengkap disini ya. Seperti diketahui gaji pokok pns, tni/polri tahun 2010 naik 5 % dari tahun sebelumnya (2009), pemberlakuannya mulai januari 2010. Gaji pokok tersebut untuk pns golongan i a dengan masa kerja 0 tahun. Kenapa gaji golongan 3a berbeda dengan 3d? 11 tahun 2002 pasal 13 menjelaskan: Kenaikan gaji berkala adalah hak seorang pns yang telah mejalani masa kerja dua tahun. Buat anda yang mau jadi pns, atau mau mendaftar cpns, mungkin ingin tahu gaji pns lulusan s1, lulusan diii, lulusan s1, golongan 2a, 2c, 3a, 3b, 3c, 3d, atau 4a baik gaji guru. Namun seperti biasa kenaikan gaji pns golongan iii (iii/a masa kerja 0 tahun), kini gaji terendah menjadi rp2.579.400 (sebelumnya rp2.456.700), tertinggi (iii/d masa kerja 32 tahun). Dengan demikian, gaji pokok pns tahun 2016 nanti akan sama dengan daftar gaji pns tahun 2015 sebagaimana terlihat pada gambar di atas sesuai dengan golongan dan masa kerja pns download pp nomor 30 tahun 2015 tentang kenaikan gaji pns tahun 2015 silahkan klik pada tautan berikut. Dengan adanya surat edaran ini berarti maksimal bulan mei sudah menerima struktur gaji yang baru dan rapelan dari bulan januari 2010. Apa itu gaji pokok pns ? Pns yang bertugas di kantor pusat akan mendapatkan uang makan, serta uang makan diberikan sebanyak 22 hari kerja yang besarnya ditentukan golongan dan masa kerja, untuk uang makan pns dengan golongan 3a.

Seperti apa daftar gaji pokok asn/pns tahun 2020 berdasarkan pangkat/golongan dan masa kerja ? Perubahan atau kenaikan gaji di 2020 mengikut kepada peraturan pemerintah tahun 2019, tentang gaji pokok berjenjang golongan serta lama masa kerja. 1.851.500 gaji pns golongan id (juru taingkat i ) adalah sebesar 1.851.500 , namun nominal gaji pns golongan id tersebut juga akan terus bertambah seiring bertambahanya masa kerja. Kenaikan gaji pns tahun 2019 ini sebenarnya sudah sejak tahun 2018 lalu diumumkan oleh pemerintah. Apa itu gaji pokok pns ?

Intip Besaran Gaji Pns Untuk Tahun 2021 Di Sini Alterra Bills
Intip Besaran Gaji Pns Untuk Tahun 2021 Di Sini Alterra Bills from cdn.statically.io
Berapa gaji pokok pns tahun 2020 ? Berikut gaji pns untuk golongan i hingga iv. Untuk gaji golongan iii paling rendah adalah idr 2.579.400 dengan masa kerja 0 tahun, sementara itu paling tinggi adalah idr 4.797.000. Berikut adalah daftar gaji pns golongan 3 berdasarkan masa kerjanya kementerian keuangan pun juga memastikan tahun depan gaji pokok seluruh aparatur sipil negara. Ini dia daftar gaji pns terbaru lengkap! Gaji pokok tersebut untuk pns golongan i a dengan masa kerja 0 tahun. Maksudnya pada daftar gaji pokok pns itu, masa kerja golongan di golongan ii jika ditarik garis lurus ke masa kerja golongan di golongan ruang iii akan misalnya : Dengan ketentuan tersebut, diketahui bahwa masa kerja pns dihitung sejak pengangkatan sebagai cpns hingga orang tersebut meninggal dunia atau mencapai batas umur pensiun, dengan catatan, pns tersebut melaksanakan tugasnya secara terus.

Dalam regulasi tersebut, mencakup golongan i sampai iv, dengan standar dari.

Golongan ii (lulusan sma dan d3). Maksudnya pada daftar gaji pokok pns itu, masa kerja golongan di golongan ii jika ditarik garis lurus ke masa kerja golongan di golongan ruang iii akan misalnya : Hitungan gaji dari yang paling terendah hingga tertinggi disesuaikan berdasarkan masa kerja atau mkg mulai sekilas gaji pns tersebut bisa dibilang tak jauh berbeda dengan pegawai swasta. Bahkan jika dibandingkan masa kerja, gaji pegawai swasta. Apa itu gaji pokok pns ? Seperti apa daftar gaji pokok asn/pns tahun 2020 berdasarkan pangkat/golongan dan masa kerja ? Kenapa gaji golongan 3a berbeda dengan 3d? Pns gaji 13 2020, gaji 13 pns kapan cair, gaji pns golongan 3d, gaji pokok pns golongan 3a 2019, gaji pns daftar rincian dan besaran gaji pns golongan 3d, berdasarkan masa kerja 0 tahun sampai dengan. Gaji pns golongan iii (penata). Nominal gaji pokok pns berdasarkan golongan pada tahun 2020 tetap sama seperti tahun lalu, yaitu golongan ii (lulusan smp hingga d3). Sementara gaji terbesar bagi abdi negara golongan 3 yaitu 3d dengan masa kerja 32 tahun saat ini mencapai. Gaji pokok pns adalah imbalan dasar dari pekerjaan sebagai pns yang besarnya ditentukan berdasarkan ketentuan. Tabel di atas hanyalah gambaran gaji pokok yang diberikan untuk pns, sebab di samping itu juga masih ada faktor penunjang lainnya seperti tunjangan jabatan, belum lagi dana pensiun yang sudah pasti didapatkan.

Post a Comment for "Gaji Pokok Pns Gol 3D Masa Kerja 16 Tahun : Berapa Gaji Guru Sd Berbagi Ilmu"